問題解答

\framebox{Chap 1}

1.1

1.

\begin{displaymath}\begin{array}{ll}
(a) \ c_{1} = 1 & \ c_{2} = -2
\end{array}\end{displaymath}

1.2

1.

\begin{displaymath}\begin{array}{ll}
(a) \ (\sin{x})y = c & (b) \ y = - \log{(c ...
...{1 - x + c(1 + x)} & (d) \ y = \tan{(x+ x^{2} + c)}
\end{array}\end{displaymath}

2.

\begin{displaymath}\begin{array}{ll}
(a) \ y = \frac{2}{1 + e^{-x}} & (b) \ y = ...
...rt y^2 - 1\vert} = 2x + \log{(x - 1)^{2}} + \log{3}
\end{array}\end{displaymath}

3.

\begin{displaymath}\begin{array}{ll}
(a) \ T(t) = 20 + 50(\frac{3}{5})^{t/15} & (b) \ t = 41.9\ {\rm min}
\end{array}\end{displaymath}

1.3

1.

\begin{displaymath}\begin{array}{ll}
(a) \ \log{y} - \frac{x^{2}}{2y^{2}} = c & ...
...x - 2y - \frac{16}{3}\log{\vert 3x + 6y + 5}\vert &
\end{array}\end{displaymath}

\begin{displaymath}\begin{array}{ll}
(f)& (1+ \sqrt{2})\log(\vert\frac{y-13}{x-5...
...-1 - \sqrt{2}\vert)\\
&+ 2\log{\vert x-5\vert} = c
\end{array}\end{displaymath}

2.

\begin{displaymath}\begin{array}{ll}
(a) \ y + \sqrt{x^2 + y^2} = 3 & (b) \ (\frac{y}{x})^{3} + 3\log{x} = 8 \end{array}\end{displaymath}

3.

例題1.9は $x + y - 1 = 0, x+y+1 = 0$と2つの平行な直線となるため,座標軸の平行移動では定数項を落とすことができない.

1.4

1.

\begin{displaymath}\begin{array}{ll}
(a) \ \frac{x^3}{3} + x y^2 = c & (b) \ e^...
...\frac{y^2}{2} = c & (d) \ -\frac{x^3}{3} + xy^2 = c
\end{array}\end{displaymath}

2.

\begin{displaymath}\begin{array}{ll}
(a) \ \frac{x^3}{3} +(y-1)e^{y} = 0 & (b) \...
...y} = 1 \\
(c) \ \sin^{2}{x} - x^2 y^2 + y^2 = 4 &
\end{array}\end{displaymath}

1.5

1.

\begin{displaymath}\begin{array}{ll}
(a) \ \log{\vert x\vert} + \frac{y^2}{x} = ...
...x}{y} + y^2 = c & (d) \ x^2 \cos{y} + x\sin{y} = c
\end{array}\end{displaymath}

2.

\begin{displaymath}\begin{array}{ll}
(a) \ xy^2 - y^3 = cx^2 & (b) \ -x^{-1}y^2 + x^2 y^{-1} = c
\end{array}\end{displaymath}

1.6

1.

\begin{displaymath}\begin{array}{ll}
(a) \ y = \frac{c - e^{x}}{\cos{x}} & (b) \...
...x} + c}{x} & (d) \ y = \frac{\cos{2x} + c}{2xe^{x}}
\end{array}\end{displaymath}

2.

\begin{displaymath}\begin{array}{ll}
(a) \ y = (x + 2)e^{-\sin{x}} & (b) \ y = \...
...end{array}\right . & (d) \ y = (\sin{x} - 1)\cos{x}
\end{array}\end{displaymath}

3. $\ i(t) = \left\{\begin{array}{cl}
2 - \frac{2}{5^{10}}(5 - t)^{10} & (0 \leq t < 5)\\
2 & (t \geq 5)
\end{array}\right .$

1.7

1.

\begin{displaymath}\begin{array}{ll}
(a) \ y = \frac{x}{x + c} & (b) \ y = \frac...
...\
(c) \ y = \frac{e^{\sin{x}}}{e^{\sin{x}} + c} &
\end{array}\end{displaymath}

2.

\begin{displaymath}\begin{array}{ll}
(a) \ y^2 = -4x^{2} + ce^{-2x} & (b) \ y^2 + 2y = 1 + ce^{-x^2}
\end{array}\end{displaymath}

3.

\begin{displaymath}\begin{array}{ll}
(a) \ y = -\frac{2}{x} + \frac{1}{x+c} & (b) \ y = x + \frac{2x}{2ce^{x^2} - 1}
\end{array}\end{displaymath}

1.8

1.

\begin{displaymath}\begin{array}{ll}
(a)\ y = ce^{-x}, y = ce^{x} & (b)\ y = 3x+c, y = 2x+c\\
(c)\
\end{array}\end{displaymath}

1.9

1. 省略

2.

\begin{displaymath}\begin{array}{ll}
(a) \ y(3) = 4 & (b) \ y(4) = \frac{155}{8}
\end{array}\end{displaymath}

\framebox{Chap 2}

2.1

1.

\begin{displaymath}\begin{array}{l}
(a) \ y = c_{1}e^{-4x} + c_{2}e^{x} + c_{3}e...
...
0 & e^{x}
\end{array}\right\vert = e^{x} \neq 0
\end{array}\end{displaymath}

\begin{displaymath}\begin{array}{l}
(d) \ y = c_{1} + c_{2}e^{x} + c_{3}e^{7x}
W...
...e^{7x}
\end{array}\right\vert = 42e^{8x} \neq 0\\
\end{array}\end{displaymath}

2.

\begin{displaymath}\begin{array}{ll}
(a) \ y = c_{1}\cos{2x} + c_{2}\sin{2x} & (...
...in{x} + c_{3}\cos{\sqrt{3}x} + c_{4}\sin{\sqrt{3}x}
\end{array}\end{displaymath}

3.

\begin{displaymath}\begin{array}{ll}
(a) \ y = c_{1}x^{-2} + c_{2}x^{2} & (b) \ y = c_{1}x^{-1} + c_{2}x^{3}
\end{array}\end{displaymath}

2.2

1.

\begin{displaymath}\begin{array}{ll}
(a) \ y = c_{1}e^{x} + c_{2}e^{2x} & (b) \ ...
...\ y = c_{1}e^x + c_{2}e^{-x} - \frac{xe^{-x}}{2} &
\end{array} \end{displaymath}

\begin{displaymath}\begin{array}{l}
(d) \ y = c_{1}\sin{x} + c_{2}\cos{x} + \cos{x}\log{\vert\cos{x}\vert} + x\sin{x}
\end{array}\end{displaymath}

2. 省略

2.3

1.

\begin{displaymath}\begin{array}{ll}
(a) \ \{e^{3x}, xe^{3x}\} & (b) \ \{e^{-x},...
...\ \{1, \cos{3x}, x\cos{3x}, \sin{3x}, x\sin{3x} \}
\end{array} \end{displaymath}

2.

\begin{displaymath}\begin{array}{l}
(a) \ y = c_{1}e^{-2x} + (c_{2} + c_{3}x + c...
...c_{3} + c_{4}x)\cos{2x} + (c_{5} + c_{6}x)\sin{2x}]
\end{array}\end{displaymath}

3.

\begin{displaymath}\begin{array}{ll}
(a) \ y = e^{x} & (b) \ y = (1 - x)e^{3x} \...
...} + c_{2}x + e^{-x}[c_{3}\cos{3x} + c_{4}\sin{3x}]
\end{array}\end{displaymath}

2.4

1.

\begin{displaymath}\begin{array}{ll}
(a) \ y = (c_{1} + c_{2}x)e^{2x} + e^{x} & ...
...1}\cos{2x} + c_{2}\sin{2x} - \frac{1}{4}x\cos{2x} &
\end{array}\end{displaymath}

\begin{displaymath}\begin{array}{l}
(d) \ y = c_{1}e^{x} + c_{2}e^{2x} - xe^{x} ...
...} + c_{4}x)\sin{x} + \frac{1}{4}e^{x}(x^2 - 4x + 4)
\end{array}\end{displaymath}

2.5

1.

\begin{displaymath}\begin{array}{l}
(a) \ y = (c_{1} + c_{2}x)e^{-x} - xe^{-x} -...
...}\vert} - \sin{x} \log{\vert\sec{x} + \tan{x}\vert}
\end{array}\end{displaymath}

2. 省略

2.6

1.

\begin{displaymath}\begin{array}{ll}
(a) \ y = c_{1}x^{-1} + c_{2}x^{-2} & (b) \...
...(e) \ y = c_{1} +c_{2}x^{-1} + c_{3}x^{-1}\log{x} &
\end{array}\end{displaymath}

\framebox{Chap 3}

3.1

1.

\begin{displaymath}\begin{array}{ll}
(a) \ \noindent{\bf X} = c_{1}\left(\begin{...
...ft(\begin{array}{r}
3\\
2
\end{array}\right)e^{4t}
\end{array}\end{displaymath}

\begin{displaymath}\begin{array}{l}
(c) \ \noindent{\bf X} = c_{1}\left(\begin{a...
...qrt{7} \\
3
\end{array}\right)e^{(-2 - \sqrt{7})t}
\end{array}\end{displaymath}

3.2

1.

\begin{displaymath}\begin{array}{ll}
(a) \ \noindent{\bf X} = c_{1}\left(\begin{...
...os{t}-2\sin{t}\\
\sin{t}
\end{array}\right)\right]
\end{array}\end{displaymath}

3.3

1.

\begin{displaymath}\begin{array}{lll}
(a) \ \noindent{\bf X} &=& \Phi\noindent{\...
...\sin{t} - 2t \cos{t} + 2\sin{t})
\end{array}\right)
\end{array}\end{displaymath}

2.

(a) $y_{1} = y, y_{2} = y_{1}^{\prime}, {\bf Y} = \left(\begin{array}{c}
y_{1}\\
y_{2}
\end{array}\right)$ とおくと

$\displaystyle {\bf Y}
= \left(\begin{array}{cc}
-e^{-3t} & -e^{-t}\\
3e^{-3t}...
...{3t}}{3} - \frac{e^{3t}}{9})\\
-\frac{1}{2}(te^{t} - e^{t})
\end{array}\right)$

3.

\begin{displaymath}\begin{array}{ll}
(a) \left\{\begin{array}{l}
x_{1} = c_{1}e^...
...2} - \frac{4t}{3} + \frac{17}{9}
\end{array}\right.
\end{array}\end{displaymath}

\framebox{Chap 4}

4.1

1.

\begin{displaymath}\begin{array}{ll}
(a) \ \rho = 3 & (b) \ \rho = \frac{1}{e}
\end{array}\end{displaymath}

2.

(a) $S_{n} = \sum_{k=0}^{n}x^{k}$ とおくと $S_{n}-xS_{n} = 1 - x^{n+1}$.よって $S_{n} = \frac{1 - x^{n+1}}{1 - x}$
  これより $S = \lim S_{n} = \frac{1}{1-x}$.

\begin{displaymath}\begin{array}{l}
(b) \ \begin{array}{lll}
\log{(1+x)} &=& \i...
...{(-1)^{n}x^{n+1}}{n+1}, \vert x\vert < 1
\end{array}\end{array}\end{displaymath}

3.

(a) $\vert\frac{\sin{nx}}{n^3}\vert \leq \frac{1}{n^3} = M_{n}$ とおくと,
  $\sum M_{n} = \sum \frac{1}{n^3} < \infty$
  よってWeierstrassのM-testにより一様収束.
(b) $f(x) = \sum_{n=1}^{\infty}\frac{\sin{nx}}{n^3}$とおくと $f^{\prime}(x) = (\sum_{n=1}^{\infty}\frac{\sin{nx}}{n^3})^{\prime}$ ここで(a)より
  $f(x)$は一様収束するので項別微分が可能。よって
  $f^{\prime}(x) = \sum_{n=1}^{\infty}(\frac{\sin{nx}}{n^3})^{\prime} = \sum_{n=1}^{\infty}\frac{\cos{nx}}{n^2}$
(c) $f(x) = \sum_{n=1}^{\infty}\frac{\sin{nx}}{n^3}$とおくと

$\int_{0}^{\pi}f(x)dx = \int_{0}^{\pi}\sum_{n=1}^{\infty}\frac{\sin{nx}}{n^3}$. ここで(a)より

  $f(x)$は一様収束するので項別積分が可能。よって
  $\sum_{n=1}^{\infty}\int_{0}^{\pi}\frac{\sin{nx}}{n^3}dx = \sum_{n=1}^{\infty}\frac{2}{(2n-1)^{4}}$

4.2

1.

(a) $y = c_{0}\sum_{n=0}^{\infty}\frac{(-1)^{n}x^{n}}{n!} + \sum_{n=0}^{\infty}\frac{(-1)^{n}x^{2n+1}}{n!}$ = $c_{0}e^{-x} + \frac{e^{x} - e^{-x}}{2}$
(b) $y = \sum_{n=0}^{\infty}c_{3n}x^{3n} + \sum_{n=0}^{\infty}c_{3n+1}x^{3n+1}$ ただし
  $c_{3n} = \frac{(-1)^{n}(3n-2)(3n-5) \cdots 4 \cdot 1}{(3n)!} c_{0}$,
  $c_{3n+1} = \frac{(-1)^{n}(3n-1)(3n-4) \cdots 5 \cdot 2 }{(3n+1)!}c_{1}$
(c) $y = c_{1}x + \sum_{n=2}^{\infty}\frac{x^n}{(n-1)!} = c_{1}x + xe^{x} - x$
(d) $y = c_{0}(1 + 2x^2 + \frac{x^4}{3}) + c_{1}\sum_{n=0}^{\infty}\frac{3(-1)^n}{2^{n}n!(2n+1)(2n-1)(2n-3)}x^{2n+1}$

2.

(a) $y = c_{0}\sum_{n=0}^{\infty} \frac{(-1)^n (3n-2)(3n-5)\cdots4 \cdot 1 }{(3n)!}(x-2)^{3n}$
  + $c_{1}\sum_{n=0}^{\infty} \frac{(-1)^n (3n-1)(3n-4)\cdots 2 }{(3n+1)!} (x-2)^{3n+1}$
(b) $y = \sum_{n=0}^{\infty} \frac{(-1)^n (2n+1)}{2^n n!}(c_{0} - \frac{1}{5})(x-1)^{2n}$
  + $\sum_{n=0}^{\infty} \frac{(-1)^n 2^n (n+1)!}{(2n+1)!}(c_{1} - \frac{1}{2})(x-1)^{2n+1}$

4.3

1.

(a) 確定特異点 $x = 0$, (b) 確定特異点 $x = 0$,不確定特異点 $x = 1$
(c) 確定特異点 $x = 2$  

2.

\begin{displaymath}\begin{array}{l}
(a) \ y = c_{0}\sum_{n=0}^{\infty}\frac{(-1)...
...^{1/2}\vert\sum_{n=0}^{\infty}\frac{x^{n}}{2^{n}n!}
\end{array}\end{displaymath}

3.

\begin{displaymath}\begin{array}{ll}
(a)& \ y_{1} = 1 + \sum_{m=1}^{\infty}\frac...
...frac{(-1)^{k}}{k!\Gamma(m-k+1)}(\frac{x}{2})^{2k-m}
\end{array}\end{displaymath}

\framebox{Chap 5}

5.1

1.

\begin{displaymath}\begin{array}{ll}
(a) \ F(s) = \frac{2}{s}(e^{-4s} + 1) - \fr...
...(s-2)^{2} + 1}\\
(e) \ F(s) = \frac{n!}{s^{n+1}} &
\end{array}\end{displaymath}

5.2

1.

\begin{displaymath}\begin{array}{ll}
(a)& \ \lim_{t \rightarrow \infty}\frac{\si...
... \infty}\frac{\frac{1}{1+t}}{ae^{at}} = 0 \ (a > 0)
\end{array}\end{displaymath}

\begin{displaymath}\begin{array}{ll}
(d)& \ \lim_{t \rightarrow \infty}\frac{t^{...
... \infty}\frac{6}{(a-7)^{3}e^{(a-7)t}} = 0 \ (a > 7)
\end{array}\end{displaymath}

5.3.1

1.

\begin{displaymath}\begin{array}{lll}
(a) \ F(s) = \frac{2}{s^3} + \frac{3}{s^2}...
...}{s} & (h) \ \frac{se^{-\frac{\pi}{2}s}}{s^2 + 1} &
\end{array}\end{displaymath}

\begin{displaymath}\begin{array}{l}
(i) \ \frac{2}{s} + e^{-2s}(\frac{2}{s^3}+\f...
...ac{12}{s}) - e^{-8s}(\frac{1}{s^{2}} + \frac{5}{s})
\end{array}\end{displaymath}

5.3.2

1.

\begin{displaymath}\begin{array}{ll}
(a) \ Y(s) = \frac{s}{(s-1)(s^2+4s-5)} & (b...
...1-e^{-\pi s})}{s} + \frac{-se^{-\pi s}}{s^2 + 1}) &
\end{array}\end{displaymath}

5.4

1.

\begin{displaymath}\begin{array}{ll}
(a) \ f(t) = \frac{t^{5}e^{2t}}{4!} & (b) \...
...t} + \frac{9e^{-3t}}{2} & (f) \ f(t) = 4t - \sin{t}
\end{array}\end{displaymath}

\begin{displaymath}\begin{array}{l}
(g) \ f(t) = \frac{\sin{t}}{3} - \frac{\sin{...
...(t)(\frac{\sin{(t-2)}}{3} - \frac{\sin{2(t-2)}}{6})
\end{array}\end{displaymath}

5.5

1.

\begin{displaymath}\begin{array}{ll}
(a)& \ y = \frac{5e^{t}}{36} + \frac{te^{t}...
... \frac{1}{4}te^{-t} + \frac{1}{2}\cos{t}
\end{array}\end{array}\end{displaymath}

5.6

1.

\begin{displaymath}\begin{array}{ll}
(a) \ y = e^{-t} 2te^{-t} & (b) \ y = -\fra...
...t} + \frac{1}{2}\sin{t}\\
(c) \ y = 1 + 3t + t^2 &
\end{array}\end{displaymath}

\framebox{Chap 6}

6.1

1.

\begin{displaymath}\begin{array}{ll}
(a) \ \{\frac{(1,3)}{\sqrt{10}}, \frac{(6,-...
...{3},\frac{(2,1,-2)}{3} \} \\
(c) \ \mbox{直交系でない} &
\end{array}\end{displaymath}

2.

$\displaystyle 0 \leq \vert\vert(f - \lambda g)\vert\vert^{2}$ $\displaystyle =$ $\displaystyle (f - \lambda g , f - \lambda g )$  
  $\displaystyle =$ $\displaystyle \vert\vert f\vert\vert^{2} - 2\lambda (f,g) + \lambda^{2}\vert\vert g\vert\vert^{2}$  

これは$\lambda$についての二次式で0より大きいので,その判別式$\Delta$は0以下になる.よって

$\displaystyle \Delta = \vert(f,g)\vert^{2} - \vert\vert f\vert\vert^{2} \ \vert\vert g\vert\vert^{2} \leq 0 $

これより

$\displaystyle \vert(f,g)\vert \leq \vert\vert f\vert\vert \ \vert\vert g\vert\vert $

3.

\begin{displaymath}\begin{array}{lll}
(a) \ \vert\vert f\vert\vert = \sqrt{\frac...
... f\vert\vert = 1 & (c) \ \vert\vert f\vert\vert = 1
\end{array}\end{displaymath}

4.

\begin{displaymath}\begin{array}{l}
(P_{0},P_{1}) = \int_{-1}^{1}xdx = \frac{x^2...
...x = \frac{3x^4}{8} - \frac{x^2}{4}\mid_{-1}^{1} = 0
\end{array}\end{displaymath}

6.2

1. $f(x) \sim \frac{3}{2} + \sum_{n=1}^{\infty} \frac{1 - (-1)^{n}}{n\pi}\sin{nx}$

2. $f(x) \sim \frac{2}{\pi} - \frac{4}{\pi}\sum_{m=1}^{\infty}\frac{1}{4m^2 - 1}\cos{2mx}$

3. $f(x) \sim 2\sum_{n=1}^{\infty}\frac{(-1)^{n+1}}{n}\sin{nx}$

4. 省略

5. 3の結果に $x = \frac{\pi}{2}$を代入.

6.3

1.

\begin{displaymath}\begin{array}{l}
(a) \ f_{e}(x) = \left\{\begin{array}{ll}
x...
...x <0\\
e^{x}, & 0 < x < \pi
\end{array} \right .
\end{array}\end{displaymath}

2.

\begin{displaymath}\begin{array}{l}
(a) \ \begin{array}{ll}
f(x) \sim \frac{1}{3...
...}\frac{n(1-n(-1)^{n+1}}{n^2 - 1}\sin{nx}
\end{array}\end{array}\end{displaymath}

3.

\begin{displaymath}\begin{array}{l}
(a) \ \ f(x) \sim \frac{\pi}{2} - \frac{1}{\...
...n=-\infty}^{\infty}\frac{(-1)^{n}}{n^2}e^{-in\pi x}
\end{array}\end{displaymath}

6.4

1.

\begin{displaymath}\begin{array}{l}
(a) \ y = \left\{\begin{array}{ll}
c_{2}, & ...
...n{n\pi x\log{x}}, & \lambda > 0
\end{array}\right .
\end{array}\end{displaymath}

2. 省略

\framebox{Chap 7}

7.1

1.

(a) $u_{x} = 2x, u_{xx} = 2, u_{y} = -2y, u_{yy} = -2$ より $u_{xx} + u_{yy} = 0$.
(b) $u_{x} = \frac{-y}{x^2 + y^2}, u_{xx} = \frac{2xy}{(x^2 + y^2)^2}, u_{y} = \frac{x}{x^2 + y^2}, u_{yy} = \frac{-2xy}{(x^2 + y^2)^2}$
  より $u_{xx} + u_{yy} = 0$.
(c) $u_{x} = a, u_{xx} = 0, u_{y} = b, u_{yy} = 0$ より $u_{xx} + u_{yy} = 0$.
(d) $u_{x} = -\sin{x}\cosh{y}, u_{xx} = -\cos{x}\cosh{y}, u_{y} = \cos{x}\sinh{y}$,
  $u_{yy} = \cos{x}\cosh{y}$ より $u_{xx} + u_{yy} = 0$

2.

(a) $u_{x} = \frac{-xe^{-x^2/4t}}{t^{3/2}}, u_{xx} = (\frac{-1}{2t^{3/2}} + \frac{x^...
...5/2})e^{-x^2/4t}, u_{t} = (\frac{-1}{2t^{3/2}} + \frac{x^2}{4t^5/2})e^{-x^2/4t}$
  より $u_{xx} - u_{t} = 0$.
(b) $u_{x} = -\frac{1}{2\sqrt{t}}e^{-\frac{x^2}{4t}}, u_{xx} = \frac{x}{4t^{3/2}}e^{-\frac{x^2}{4t}}, u_{t} = \frac{x}{4t^{3/2}}e^{-\frac{x^2}{4t}}\ $   より$u_{xx} - u_{t} = 0$
(c) $u_{x} = a + 2cx, u_{xx} = 2c, u_{t} = 2c$ より $u_{xx} - u_{t} = 0$.
(d) $u_{x} = -e^{-t}\sin{x}, u_{xx} = -e^{-t}\cos{x}, u_{t} = -e^{-t}\cos{x}$ より $u_{xx} - u_{t} = 0$.

3. (a) $yu_{x} + xu_{y} = 0 \ \ (b) \ yu_{x} - xu_{y} - 2xy = 0$

4. $u = f(x^2 + y^2), t = x^2 + y^2$とおくと,

$\displaystyle u_{x}$ $\displaystyle =$ $\displaystyle \frac{du}{dt}\frac{\partial t}{\partial x} = \frac{du}{dt}(2x)$  
$\displaystyle u_{y}$ $\displaystyle =$ $\displaystyle \frac{du}{dt}\frac{\partial t}{\partial y} = \frac{du}{dt}(2y)$  

よって $yu_{x} - xu_{y} = 0$.

5. $u(x,y) = f(x+y) + g(x-y)$において, $v = x+y, \ w = x-y$とおくと

$\displaystyle u_{x}$ $\displaystyle =$ $\displaystyle \frac{\partial f(v)}{\partial v}\frac{\partial v}{\partial x} + \...
...artial x} = \frac{\partial f(v)}{\partial v} + \frac{\partial g(w)}{\partial w}$  
$\displaystyle u_{xx}$ $\displaystyle =$ $\displaystyle \frac{\partial^{2} f(v)}{\partial v^{2}}\frac{\partial v}{\partia...
...c{\partial^{2} f(v)}{\partial v^{2}} + \frac{\partial^{2} g(w)}{\partial w^{2}}$  
$\displaystyle u_{y}$ $\displaystyle =$ $\displaystyle \frac{\partial f(v)}{\partial v}\frac{\partial v}{\partial y} + \...
...artial y} = \frac{\partial f(v)}{\partial v} - \frac{\partial g(w)}{\partial w}$  
$\displaystyle u_{yy}$ $\displaystyle =$ $\displaystyle \frac{\partial^{2} f(v)}{\partial v^{2}}\frac{\partial v}{\partia...
...c{\partial^{2} f(v)}{\partial v^{2}} + \frac{\partial^{2} g(w)}{\partial w^{2}}$  

よって $u_{xx} - u_{yy} = 0$.

6. $x = r\cos{\theta}, y = r\sin{\theta}$とおくと,

$\displaystyle \frac{\partial^{2}u}{\partial t^2} + \frac{1}{r}\frac{\partial u}{\partial r} + \frac{1}{r^2}\frac{\partial^2 u}{\partial \theta^2} = 0 $

7.2

1.

\begin{displaymath}\begin{array}{ll}
(a) \ u(x,y) = e^{x}\phi(2x-y) & (b) \ u(x,...
... - y) & (d) \ u(x,y) = -2x -y - 1 + e^{x}\phi(-x-y)
\end{array}\end{displaymath}

2.

\begin{displaymath}\begin{array}{ll}
(a) \ u(x,y) = ce^{(1-2b)x + by} & (b) \ u(...
...^2 x}{b+1} + by} & (d) \ u(x,y) = ce^{-(1+b)x + by}
\end{array}\end{displaymath}

3.

\begin{displaymath}\begin{array}{l}
(a) \ u(x,y) = g(x+ \frac{5 + \sqrt{21}}{2}y...
... \ u(x,y) = g(x + \frac{y}{5}) + h(x - \frac{y}{5})
\end{array}\end{displaymath}

7.3.1

1. 省略

2.

(a) $u(x,y) = \sum_{1}^{\infty}B_{n}\sin{\frac{n \pi x}{L}}\cosh{\frac{n \pi y}{L}}$
  ただし $B_{n}\cosh{\frac{n \pi K}{L}} = \frac{2}{L}\int_{0}^{L}f(x)\sin{\frac{n \pi x}{L}}dx$
(b) $u(x,y) = \sum_{1}^{\infty}C_{n}\sinh{\frac{n \pi (L-x)}{K}}\sin{\frac{n \pi y}{K}}$
  ただし $C_{n}\sinh{\frac{n \pi L}{K}} = \frac{2}{K}\int_{0}^{K}g(y)\sin{\frac{n \pi y}{K}}dy$

3. 省略

7.3.2

1.

\begin{displaymath}\begin{array}{l}
(a) \ u(x,t) = \sin{\pi x}\cos{\pi c t} \ (b...
...}^{\infty}\frac{4}{n\pi c}\sin{n\pi x}\sin{n\pi ct}
\end{array}\end{displaymath}

2. 省略

3. $u(x,t) = \frac{1}{2}(e^{-(x+ct)^2} + e^{-(x-ct)^2} + t)$

4.

(a) $u(x,y,t) = \sin{\pi x}\sin{pi y}\cos{(\sqrt{2}\pi ct)}$
(b) $u(x,y,t) = \sum_{m=1}^{\infty}\sum_{n=1}^{\infty}D_{mn}\sin{m\pi x}\sin{n \pi x}\sin{\sqrt{m^2 + n^2}\pi ct}$,
ただし $D_{mn} = \frac{4}{\sqrt{m^2 + n^2}\pi c}\int_{0}^{1}\int_{0}^{1}g(x,y)\sin{m\pi x}\sin{n\pi x}dxdy$

7.3.3

1. $u(x,t) = \frac{8}{\pi^2}\sum_{m=0}^{\infty}\frac{(-1)^m}{(2m+1)^2}\sin{\frac{(2m+1)\pi x}{2}}e^{-k(2m+1)^{2}\pi^{2}t/4}$

2. $u(x,t) = \frac{32}{\pi^3}\sum_{m = 0}^{\infty}\frac{1}{(2m+1)^3}\sin{\frac{(2m+1)\pi x}{2}}e^{-k(2m+1)^{2}\pi^{2}t/4}$

3. $10 + 80x$

4. 省略

\framebox{Chap 8}

8.1

1.

\begin{displaymath}\begin{array}{lll}
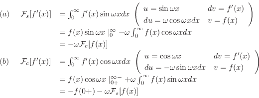
(a) & \ {\cal F}_{s}[f^{\prime}(x)] &= \in...
...ga x}dx \\
& &= -f(0+) - \omega {\cal F}_{s}[f(x)]
\end{array}\end{displaymath}

2.

\begin{displaymath}\begin{array}{l}
(a) \ {\cal F}[f] = \frac{1}{i \omega}(e^{i\...
...int_{0}^{\infty}\frac{\sin{u}}{u}du = \frac{\pi}{2}
\end{array}\end{displaymath}

3.

(a) $f(x) = \frac{2}{\pi x^2}(1 - \cos{x})$ (b) 省略

4. 省略

8.2

1. $u(x,t) = \frac{100}{\pi^2}\int_{0}^{\infty}(\frac{-4\omega \cos{4\omega} + \sin{4\omega}}{\omega^2}) e^{-2\omega^2 t}\sin{\omega x}d\omega $

2. 省略

3. 省略

4. $u(x,y) = \frac{1}{2\pi}\int_{-\infty}^{\infty}F(\omega)e^{-\omega y}e^{-i \omega x}d\omega$